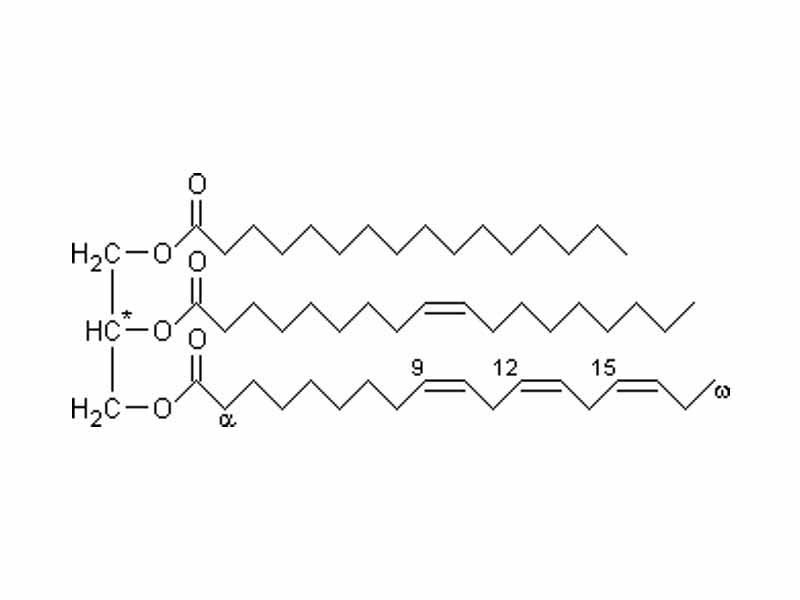
Example of an unsaturated fat triglyceride. Left part: glycerol, right part from top to bottom: palmitic acid, oleic acid, alpha-linolenic acid, chemical formula: C55H98O6

Click this LINK to visit the original image and attribution information. Right click on the image to save the 800px teaching JPEG.



Example of an unsaturated fat triglyceride. Left part: glycerol, right part from top to bottom: palmitic acid, oleic acid, alpha-linolenic acid, chemical formula: C55H98O6