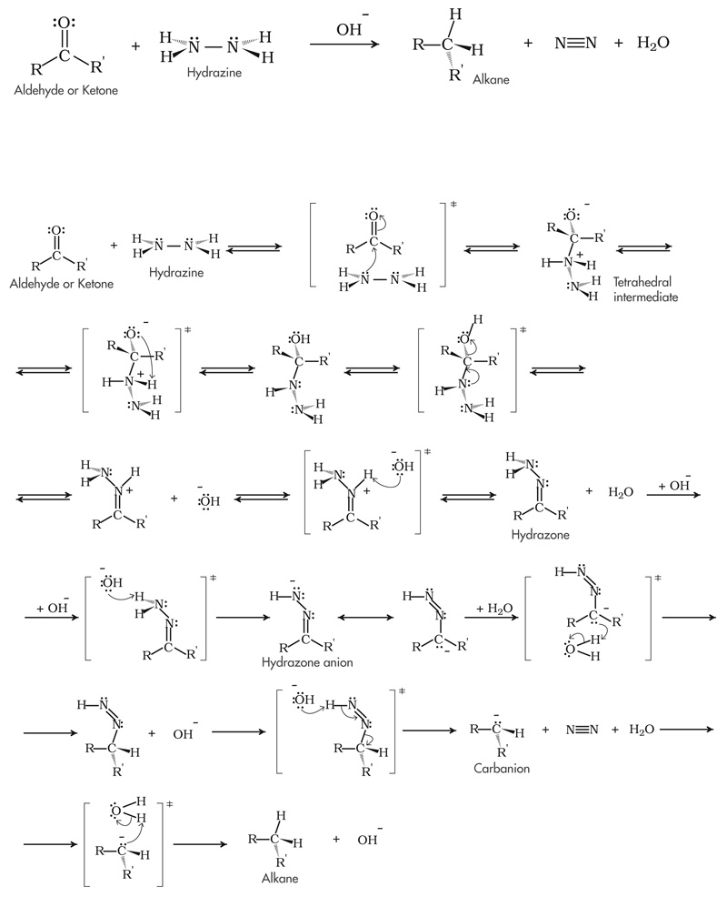
Wolff-Kishner reaction

Published by the Integrated MCAT Course under a Creative Commons Attribution NonCommercial ShareAlike License.



Wolff-Kishner reaction